使用水泵电机时,您可能时常会见到两个关键参数:P1和P2。但这两个指标究竟代表什么?它们之间有什么区别?今天深入了解水泵电机的性能评价标准。

图为:格兰富标准电机
什么是P1和P2?
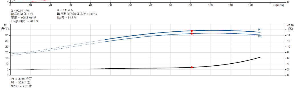
P1通常指电机的输入功率,即整个电机从电源吸收的总功率。这个指标包含了电机运行时的所有能量损耗,包括电机的散热损失、摩擦损耗以及电磁损耗等。而P2则是电机的输出功率,代表电机实际传递给水泵的有效功率,也可以理解为水泵的机械功率。简单来说,P1是进入电机的总功率,P2是输出到水泵的有效功率。

图为:格兰富水泵效率曲线
两者的核心区别
两者的本质区别在于效率:
1. 功率来源不同:P1指的是输入功率,而P2指的是输出功率。
2. 反映效率:电机效率计算公式为 η =P2/P1×100%。通过对比P1和P2,您可以清楚地看到电机的转换效率,即电机将电能转化为机械能的效率。
3. 能耗差异:由于电机内部会产生能量损耗,P2始终小于P1。损耗越小,电机效率越高,反之则效率偏低。
为什么理解P1和P2很重要?
如果您正在设计或选择一款适合的水泵电机,P1和P2的区别至关重要。了解输入和输出功率的差异,可以帮助您评估电机的性能是否符合需求。例如,在工业应用中,如果电机效率较低,势必造成高能耗,这不仅增加了运营成本,还可能对设备寿命造成影响。
如何选择高效电机?
1. 查看效率标识:优质电机通常在铭牌上明确标出P1和P2值,以及效率等级。
2. 比较品牌与技术:不同厂家的技术水平会直接影响电机的性能表现。
3. 合理匹配负载:选择输出功率(P2)满足实际需求的电机,避免浪费过多输入功率(P1)。
4. 选择格兰富的E电机,自带调速电机的水泵,适配性高,多种方式调节。

关于您有节能的想法,欢迎联系我们,一起沟通交流!